(!)Due to Microsoft's end of support for Internet Explorer 11 on 15/06/2022, this site does not support the recommended environment.
Instead, please kindly use other browsers like Google Chrome, Microsoft Edge or Mozilla Firefox.

  • [Temporary Suspension of Order Acceptance for the Middle East] Due to suspension of air transport & courier services to the Middle East region, we regret to inform that we will temporarily stop accepting order(s) until further notice. Thank you for your understanding.
  • Notice of End of Sales for Economy Series Pneumatic Equipment Category. More details.

Volume and Weight Calculation Methods

How to calculate volume

Solid Volume V
Truncated cylinder How to calculate volume_01 How to calculate volume_02
Pyramid How to calculate volume_03 How to calculate volume_04
Spherical crown How to calculate volume_05 How to calculate volume_06
Ellipsoid How to calculate volume_07 How to calculate volume_08
Oval ring How to calculate volume_09 How to calculate volume_10
Crossed cylinder How to calculate volume_11 How to calculate volume_12
Hollow cylinder (tube) How to calculate volume_13 How to calculate volume_14
Truncated pyramid How to calculate volume_15 How to calculate volume_16
Spherical segment How to calculate volume_17 How to calculate volume_18
Torus How to calculate volume_19 How to calculate volume_20
Circular cone How to calculate volume_21 How to calculate volume_22
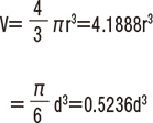
Sphere How to calculate volume_23 How to calculate volume_24
Spherical belt How to calculate volume_25 How to calculate volume_26
Barrel How to calculate volume_27 How to calculate volume_28

How to calculate weight

How to calculate weight_1

PDF list